Trade now with the Best Forex Rewards
The opportunity to earn a high income in a short period of time makes Forex attractive for individual investors. The currency flow charts show that a successfully closed transaction is quite an effective investment decision. An average exchange transaction takes 1-2 days, and its return on investment is over 100%. No other business, except a criminal one, has the same return on investment.
- liquidity: the market operates huge stock of money and allows full freedom when opening or closing a position of any volume practically by the current market quotation;
- availability: there is an opportunity to trade 24 hours per day, a market participant doesn’t have to wait to react on this or that occurrence;
- flexible regulation of trade system: a foreign exchange market position may be opened for a preset period of time according to the investor’s wish, which allows planning future activities in advance;
- cost: Forex market traditionally doesn’t take any commission fees, except a real bid/ask market difference (between the buying price and the selling price that the bank gives a trader);
- single-valued quotations: most negotiations may be done by a common market price due to the high market liquidity, which enables one to avoid the instability issue that exists while working with futures and other currency investments, when only a restricted amount of currency may be negotiated by a pre-defined price at a time;
- market trend: currency movements have quite definitive trends which are possible to be tracked in a relatively long period of time. Each single currency reveals its typical time changes allowing investment managers to manipulate it in Forex market.
| Broker | Reward | Validity | Regulation | Review |
|---|---|---|---|---|
| . | $2,000 | 30 days | CySEC | N/A |
| . | N/A | N/A | CySEC, FCA, ASiC, FSCA | N/A |
| . | £20 Free | 30 days | CySEC, FCA | N/A |
An interesting feature of Forex is that you do not have to buy currency before selling it. You can open positions both for buying and selling. Your goal may be to buy cheaper and to sell more expensive or vice versa: first to sell more expensive, and then buy cheaper (more details in the section “How the Profit is made”). If you want to start trading somewhere else, then you can find the Best Forex Brokers in UK and read more about them and their services.
Perhaps, the most important feature of the foreign exchange market is its stability. Unlike the stock market, Forex market doesn’t have any unexpected stock falls. In case of share depreciation there comes a market collapse. When the dollar price falls, it means that another currency becomes more expensive. This happened, for example, when Yen became more expensive than a quarter of dollar in several months at the end of 1998. There were certain days when dollar would drop by tens of percent (!). But the market didn’t collapse; trading continued to keep going as usual. This business stability is due to the fact that currency is an absolutely liquid product with a constant demand.
How Money Became Virtual?
The international exchange system has made a long way in the human history. However, today its changes are most dynamic as ever. Two of the main changes are that money has been separated from its material carrier and that modern information and telecommunication technologies have made it possible to unite monetary systems of different countries in the global financial system that doesn’t recognize any world boarders.
People are no longer dying for metal. Nowadays money does not mean metal, and it is not even nicely rustling colourful pieces of paper with water signs. The real money that moves people’s fates, causes international conflicts, creates and destroys empires is today just numbers on computer screens. This is the way the modern global financial market looks like today, and it has become like that due to the Internet development.
The Internet is believed to be born in the 1970s: the time of cold war, dress coats and wedges. The US Ministry of Defense created a military information net ARPAnet. It was organized so that even if its separate parts were destroyed in the nuclear war, the information could be still passed over to some definite locations. Ten years later local nets of research institutions humbly started connecting to ARPAnet. Some more years later the National Science Foundation, known better as Soros Foundation in Russia, organizes five centers equipped with supercomputers and connects them in their own united net NSFnet. It uses the same mechanisms as ARPAnet. Governmental organizations and research institutions connect to the new net, and connection lines are faster installed everywhere. This is how the Internet, what we call it now, has been created. Gradually, individuals manage to get access to the Net. Then the access is becoming much easier. People start posting their biographies, favorite poems, nuclear bomb instructions and nude photographs online. Andy Warhol’s prediction comes true.
Each person can enjoy his or her own 15 minutes of fame. A good product becomes profitable fast in the USA. In the middle of 1990s thousands of companies start selling their goods via the Internet. Business people discover that they can make their work and communications easier using e-mails and exchanging data via special Internet protocols. Almost overnight the Internet being a backwater for scientists becomes a wind whirl of capitalistic opportunities. People buy and sell things over the Internet, banks become virtual, and money turns digital. That’s the short history of the Internet up to today.
Due to the development of information technologies the foreign exchange market has changed drastically. Once a mysterious profession of an exchange broker, it has became nearly a regular job. Currency transactions, which previously used to be the privilege of huge monopolistic banks, now, are generally available thanks to electronic trading systems. Even the largest banks often prefer electronic trading systems to individual double-side transactions. 11% of total Forex market turnover today is realized through electronic trade systems.
Misconceptions about Forex
The first, often met, misconception is that transactions in the Forex market are similar to playing roulette players make their bets, someone wins a lot right away, but the rest of them lose. Finding the best Forex bonus is not a roulette game, because foreign exchange rate changes follow certain consistent patterns. First of all, the currency value depends on the economic situation of a particular country, and second, it is defined by preferences and expectations of market participants. The former is usually well known, and the latter may be forecast. It is not occasional that only people who have never tried trading in the global foreign exchange market have a sharply negative and skeptical outlook about it. Some actual work in the market helps to change this attitude because its analysis presents a lot more objectivity than occasionality.
The second misconception refers to the opinion that some participants can win only at the expense of other participants’ losses. However, not everybody is speculating in currency rate differences at Forex there are huge groups of participants using currency exchange transactions for other purposes. These are export-import traders, huge investors, tourists and others, for whom short term exchange fluctuations don’t matter.
Main customers of these transactions are import-export companies. When selling their products abroad, they receive currency of that country where they sell them. To invest this money in production they need the currency of the country where the production is located. Banks (or brokerage offices) make these conversions specifically for such companies. As leading world currencies can be freely converted by freely floating rates, these kinds of conversions can become profitable by themselves.
Foreign exchange market, as all financial markets, is never in balance. Its condition may be defined as an eternal search for the escaping balance.
How the Profit is made?
Exchange rates are constantly changing. Common people don’t notice these fluctuations, but traders may earn a lot of money on rather small changes.
Business news can frequently report such things as: “Today the EURO against the US dollar was 1.3”. This is for common people. Forex market exchange rate usually has not two but four digits after the comma. That is, the rate will not be 1.3, but, for example, 1.3200. Its change in the fourth digit by 0.0001 means that the currency rate has changed by one point. The only exception is the Japanese Yen, which has one point that equals to 0.01, because it is a very cheap currency: one US dollar equals to over 100 Yen.
Small and medium investors’ participation in Forex became possible due to the activity of intermediary brokerage offices. Many countries provide their small and medium investors with an opportunity to trade on the international foreign exchange market using sums of money starting with a thousand dollars US for their transactions.
A brokerage office grants its clients a credit line or the so called “dealing lever” which is several times bigger than the original deposit sum. For example, the credit lever surpassing the initial one-thousand deposit sum in 100 times, allows operating 100.000 USD or 100.000 creation units.
A regular Forex market contract nominally equals to $100.000 or 100.000 creation units, so called round lot. Let’s say we have opened one round lot to buy GBP (British pound) at the price of 1.5625. In several hours the rate went up to 1.5650, and we closed the position. Thus, we sold the pound more expensive than we bought it, so we received some profit. How to calculate it?
There is a simple formula:
PROFIT = (SELLING PRICE – BUYING PRICE) x CONTRACT SIZE x N where: PROFIT – profit; SELLING PRICE – selling price; BUYING PRICE — buying price; N — the number of round lots.
CONTRACT SIZE is the size of the contract in the relevant currency, GBP in our case. All in all, the selling price was 1.5650, the buying price was 1.5625, the contract size for GBP was 100.000, and we opened only one round lot. According to the formula it is:
(1.5650 – 1.5625) х 100.000 х 1 = 250.00
Thus, having used only $1,000 on our account, we earned $250 in a couple of hours. This transaction profitability was 25%.
Foreign Exchange Rates
The exchange rate is the value of one country currency expressed in terms of another country currency in buying or selling deals. This price may be determined on the basis of the proportion between supply and demand for a specific currency in the free market, or it is strictly regulated by the government and its main financial institution, usually the central bank.
Foreign exchange rates are displayed by the currency pair involved into a foreign exchange transaction, for example: GBP/USD or USD/CHF; where GBP/USD shows how many US dollars are in 1 British pound (how many US dollars it is possible to buy with 1 British pound), and USD/CHF shows how many Swiss francs are in 1 US dollar (how many Swiss francs it is possible to buy for 1 US dollar).
The currency taking the first place in the currency pair is a base; it will define the amount of the other national currency in the base currency unit (how much other national currency you can buy for the base currency unit).
Direct Currency Quotes
A direct currency quotation is the one that shows the number of US dollars in one unit of this national currency. The system of direct currency quotations is applied in Britain and Australia (GBP/USD and AUD/USD). The direct quotation is used by EURO (EUR/USD) as well.
For example: AUD/USD shows how many US dollars are in 1 Australian dollar (how many US dollars it is possible to buy with 1 Australian dollar).
Inverse (indirect) currency quotes.
Inverse currency rate is the one that shows the amount of national currency in one US dollar.
Inverse (indirect) currency rates are: USD/CHF, USD/JPY, USD/CAD.
For example: USD/CHF shows how many Swiss francs are in 1 US dollar (how many Swiss francs it is possible to buy with 1 US dollar).
Financial Technology of Trading in Forex Market
Currency Position & Spot Rate
Banks and companies participating in the foreign exchange market can be divided into two categories according to the extent of their influence on the market. The market is shaped by market makers – huge banks or brokerage offices that define the current level of the exchange rate or interest rates due to having a bigger share of their transactions in the total market volume. Market makers establish the current rate level by performing transactions with each other and smaller banks. Small banks and firms use the rate set by the market makers in their transactions, i.e. they are market users.
Transactions such as spot ones or current conversion transactions are called transactions of buying and selling currency whose actual execution (valuation) is performed on the second working day after the transaction day (the day of the transaction is not counted). According to the data of 1998, around 40% of all Forex activity accounted for the spot-market.
The main idea of organizing currency trading is an open currency position. When a bank buys one currency (A) under spot conditions in exchange for another (B), it actually accepts the responsibility to deliver the stipulated amount of currency B to the seller on the 2nd working day; simultaneously it receives the right to demand the relevant amount of currency A at the same time. For the duration of the transaction, the bank additionally gets the right to demand the sum in currency A (its assets), and at the same time it has to deliver the sum in currency B (its equity).
A long position means that demands in the given currency exceed liabilities. A short position means that liabilities in the given currency overcome demands in the same currency.
The open currency position means that the demands (assets) and liabilities (equities) expressed in a concrete currency of a specific foreign exchange participant do not match. When summing up the balance with the currency positions, the long position has a sign, but the short one has a sign. The example mentioned above shows that the bank has a long position in currency A and a short one in currency B.
Thus, long and short positions are two options of the open currency position.
After the actual clearance happens on the 2nd working day (currency delivery) according to the transaction, the position is closed (liquidated).
The amount of currency A delivered in exchange for the given sum in currency B under the seller and buyer’s agreement to make this transaction defines the price of one currency unit expressed in the terms of another currency, i.e. the actual market exchange rate. Currency quotation is the price of one currency unit expressed in terms of another currency. Buying some certain currency from another market participant, market makers will try to sell it more expensive, as the difference between the prices of selling and buying comprises their profit. When Forex market users request the currency price from market makers, they don’t say if they are going to buy or sell this currency. After declaring the currency price market makers can’t refuse a client in the transaction according to the price.
That is why market makers announce two prices at once: the buying price for this specific currency and the selling one. Therefore, there are two quotation options: bid (offer) and ask (sometimes marked as demand).
It will be as follows in the concrete example: let us take currency A as CHF and currency B as USD, a bank client MU (market user) requests a bank MM (market maker) for the Swiss franc quotation. The MM quotes, for example, like this: 1.5030/ 1.5035 francs for a dollar; this means that MM is ready to buy dollars by giving 1.503 francs per each dollar or MM is ready to sell dollars, but it wants to receive 1.5035 per 1 dollar.
It is quite clear that purchasing one currency on the Forex market means selling another one, that’s why to avoid any confusion some generally accepted agreements how to read quotes are used. One of the currencies is announced to be higher than the others (base) and another currency price (let’s define it as crs) is announced as follows: “N units of crs currency for one base currency unit”.
Therefore, the market maker bank (MM) announces a specific currency quotation as one base currency unit price in terms of the given currency, the bid being the buying price of the base currency and ask being its selling price set by a market maker, the ask-bid difference is called a spread which is the market maker’s profit.
Graphs of two quotation options for a Swiss franc
The table below presents the scheme of two participants’ actions involved in the transaction in the foreign exchange market.
| Price | ||
|---|---|---|
| bid | ask | |
| The one who sets a quotation (market maker) | Buys the base currency (buy) | Sells the base currency (sell) |
| Client (market user) | Sells the base currency(sell) | Buys the base currency (buy) |
To illustrate, Fig. 7.1 shows graphs of two quotation options, namely, bid and ask for a Swiss franc graph. According to the generally accepted agreement, the euro is a base currency against the rest, the British pound is a base currency against all the rest except the euro, and the US dollar is a base currency against all the rest except the euro and British pound. The exception includes the currencies of the countries that used to belong to the British Empire; they are also listed as base currencies against the US dollar. When quotations are listed in the information systems the base currency is always the first one. The quotation is written down with four decimal place accuracy after the comma: EURUSD = 1.0743 dollars per euro, GBPUSD = 1.6256 dollars per pound. As for the yen there are two decimal places: USDJPY = 120.37 yen per dollar due to another price scale.
When listing a bilateral quotation it is common to use a short form: 1.4456 / 56 which means the same as 1.4456 / 1.4461. The last part of the quotation (0.0001, or in case with the yen 0.01) is called pips according to traders’ jargon; a hundred pips create “figure”: figure = 0.01 = 100 pips (for the yen figure = 1.0 = 100 pips). Currencies that have USD as a base currency are usually called European quotation currencies (they are CHF, JPY, FRF, GRD, ITL and others). Currencies that are base against USD are usually called American quotation currencies (for example, GBP, NZD, HKD, EUR et al.).
Dollar quotations are often written down in short omitting USD, so JPY = USDJPY is the yen dollar quotation, while GBP = GBPUSD is the British pound dollar quotation.

The illustration above shows the real bilateral quotations of some currency spot-rates (dollar prices for gold XAU and silver XAG) are cited as well)
Long position in the dollar/franc market
Short position in the pound/dollar market
RIC stands for Reuters Information Code, the abbreviation used in the information system Reuters.
We can notice that the long position is always the one that is opened up expecting the graph to go up according to the agreements we accepted, when the execution of buy and sell orders is related to the base currency. Whereas the short position is opened up when expecting the graph to go down. Both directions occur for any currencies. For example, the below graphs show the dollar/franc (buy) long position (Fig. 7.2) and the pound/dollar (sell) short position (Fig. 7.3). As for the US dollar both of these positions are long, the dollar was being bought in both cases.
Cross Currency Rates
Cross rate in Forex market is the exchange rate between two currencies, none of them being the US dollar. When recording cross rates the same agreements are used (base currencies are listed first): EURGBP, GBPJPY, EURCHF, EURJPY and others.
The exchange rate formation in the cross-market definitely occurs on the demand and supply for two specific currencies, but as there are dollar markets of the same currencies at the same time, it is clear that the cross rate cannot be completely independent from their dollar rates. In fact, the high liquidity of USD-CHF and USD-JPY dollar markets will not allow keeping the yen – franc exchange rate too high, so it will be cheaper to buy dollars for francs, and to buy the needed yen volume with these dollars.
These considerations form the base for calculating cross currency rates: a clearing cross-rate of two currencies is the one defined by the dollar rates of the given currencies.
Suppose that the dollar rates of the franc and yen are set: USDCHF and USDJPY; the question is: what is the expected CHFJPY cross-rate. Having S amount of the yen we can buy S / CHFJPY of francs. On the other hand, we can buy S / USDJPY dollars with the same amount of the yen and buy the following amount of francs: (S/USDJPY) * USDCHF.
Due to the fairness of these market sectors in Forex, this result has to coincide with S / CHFJPY, thus we get the equation: S / CHFJPY = S * USDCHF / USDJPY resulting in the clearing cross rate formula: CHFJPY USDJPY /USDCHF (yen per franc).
The clearing cross rate formula looks a bit different when one of the currencies has an American quotation, for example, using the same considerations given above we can calculate: GBPJPY = GBPUSD * USDJPY (yen per pound).
Finally, the cross rate formula of two American quotation currencies is:
EURGBP = EURUSD / GBPUSD (pound per euro).
Interest and forward rates
Deposit transactions are widely practised in the financial market. The owner of monetary funds (a bank or a company) may allocate them in a certain bank at interest until this money is demanded in its other transactions. A deposit transaction means allocating monetary funds for a definite term on the condition of returning this money amount with interest. The main characteristic of the deposit transaction is the interest rate usually set as an annual interest: if the amount S is allocated at i annual interest for t days, the amount to be returned will be calculated by the formula

The terminology related to the interest accrual: discount rate: interest rate; the amount of deposit S is called principal (the principal amount); the amount by which the principal amount grows is the interest accrued. 365 is used instead of 360 to accrue interest on the British pound. Deposits are placed for different terms agreed by the parties, but there are some regular standard periods of time: a week, month as well as 3 and 6 months, a year. The shortest are the daily overnight credits. Market deposit interest rate is set by the agreement of the parties. Banks attracting and allocating full time deposits announce their interest rates by which they are ready to deposit monetary resources from other people, and rates by which they are ready to place their own free monetary resources.
Thus, two options of interest rate quotations appear: bid and ask. For example, a bank accepts pounds for 1 week at 5.05 annual interest and offers pounds for the same term at 5.13 interest:

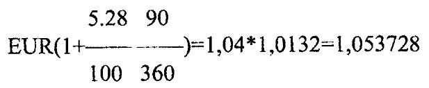
Forward transactions are foreign exchange transactions consisting in the currency exchange under the agreed exchange rate with the valuation date differing from spot. The forward can be agreed upon for any term (including 1 day, for example, tomorrow), but standard terms are usually used: 1 and 2 weeks, 16 months, a year. The rate forward transactions are consummated is called a forward rate, and it differs from a spot rate. The most important thing that the forward rate depends on is the interest rate difference between two different currencies (interest rate differential). Consider the scheme of thinking used to choose a forward rate. Let a bank client have 1 million Euros released from the company circulation for 3 months, and this money may be deposited to get profit. At the same time suppose that interest rates for the euro are 2.62 % per year, but there are higher rates of 5.2% for the dollar. Then after converting Euros into dollars we can get a bigger profit. Assume that the euro spot rate EUR is $1.0400. If to deposit 1 million Euros there will be this profit in 3 months

If to convert 1 million Euros in dollars at the spot EUR rate and deposit in dollars, the amount will be

If the spot-rate remained the same EUR=$1.0400 in 3 months, the margin gained from converting dollars back into Euros and the amount gained in the first option 1,0132 1,00655 = 0,00665 million = 6650 Euros would be the profit from changing the euro into the dollar and dollar deposit transaction.
But if this scheme could be profitable, there this market could be too agitated. When it leads to dollar supply surplus for deposits, banks will start quoting less dollar interest. Moreover, a higher dollar demand and a bigger euro offer will change their spot-rate; finally, new market levels will be set. In practice, nobody will quote the currency under the current spot rate in three months.
Therefore, studying the forward transaction we have to define now the rate of the dollar result to be achieved in three months and converted into Euros today. The compound transaction result (converting Euros into dollars and placing the dollar deposit with simultaneous selling the future increased deposit amount today at the forward rate Pf) will be


The forward rate Pf will be today chosen by market makers considering that both options of deposit transactions have to produce the same result:
1,053728 / Pf = 1,00655 million Euros.
It follows that the forward rate will be approximately Pf = $1.0469 /euro.
The table above presents deposit interest rates for main currencies that were relevant in the midsummer of 1999.
| Operator | Founded | Address | Telephone | |
|---|---|---|---|---|
| Easy Forex Trading Ltd | 2003 | P.O. Box 53742, Limassol 3317, Cyprus | +357 25 828 899 | [email protected] |
| Notesco Limited | 2010 | 28 Irish Town, GX11 1AA, Gibraltar | +44(0) 203 282 7777 | [email protected] |
| Trading Point Holdings Ltd | 2009 | 12 Richard & Verengaria Street, Limassol | +357 25029933 | [email protected] |